- Haberler
- Siirt Haber
- Siirt Üniversitesi'nde Yemek Bursu Sonuçları Açıklandı! Yemek Bursu Kazanan Öğrencilerin Listesi
Siirt Üniversitesi'nde Yemek Bursu Sonuçları Açıklandı! Yemek Bursu Kazanan Öğrencilerin Listesi
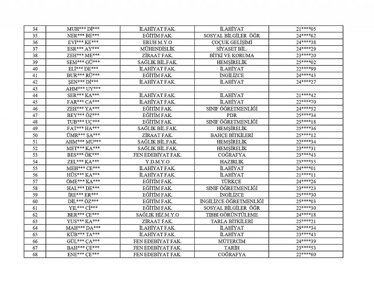
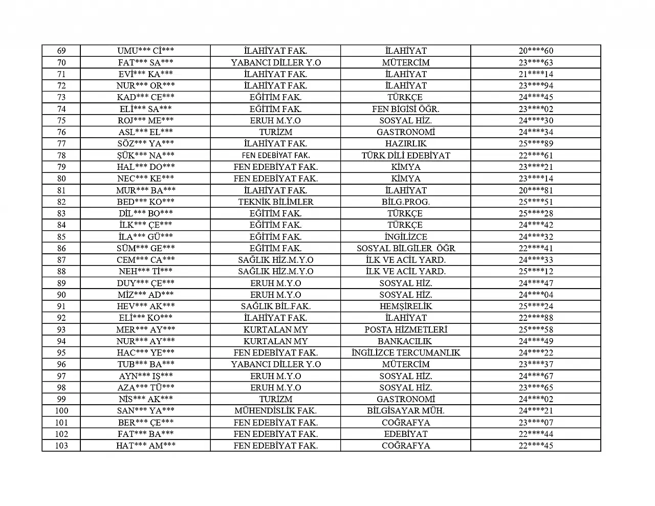
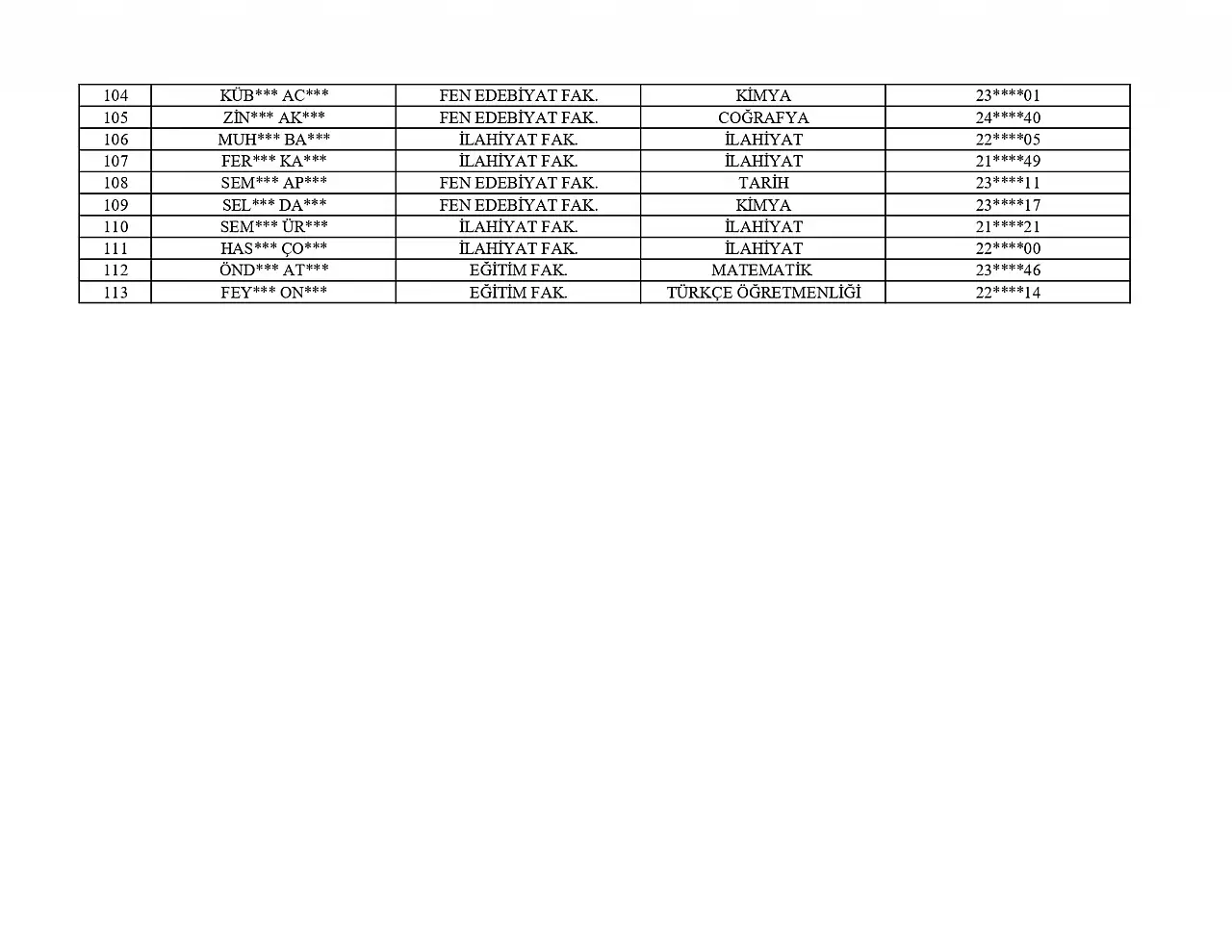
Siirt Üniversitesi, 2025–2026 eğitim yılında yemek bursu almaya hak kazanan öğrencilerin listesini yayımladı. Burs kazanan öğrencilerin işlemlerini tamamlamak için Yemek Hizmetleri Birimi'ne başvurmaları istendi.
Siirt Üniversitesi, 2025–2026 eğitim-öğretim yılında yemek bursundan yararlanacak öğrencilerin belirlendiğini duyurdu. Üniversite yönetimi tarafından yapılan açıklamaya göre, başvurular Yemek Bursu Tespit Komisyonu tarafından değerlendirildi ve sonuçlar kesinleşti.
Komisyonun incelemesi sonucunda burs almaya hak kazanan öğrencilerin isimleri yayımlanan listede yer aldı. Üniversite, yemek bursundan faydalanacak öğrencilerin işlemlerini tamamlamak üzere Yemek Hizmetleri Birimi’ne başvurmaları gerektiğini bildirdi.
Öğrencilerin belirtilen birime zaman kaybetmeden müracaat ederek kayıt işlemlerini tamamlamaları gerekiyor.
Bakmadan Geçme



